Table of Contents
Orbital contributions to the LEE
Let's get to the crux of the matter. We can analyse OBTDs all day, but what we're really wondering about is which orbitals are contributing to the enhancement in the low-energy region of the gamma strength function. Recall that in shell model calculations, the reduced transition strength is calculated by
$$ B(\sigma \lambda; \xi_i j_i \rightarrow \xi_f j_f) = \frac{1}{2 j_i + 1} \mid ( \xi_f j_f \mid \mid M_{\sigma \lambda} \mid \mid \xi_i j_i ) \mid^2, \qquad(0) $$
$$ \langle \Psi_f | \hat{O}_{\lambda \mu} | \Psi_i \rangle = \sum_{\alpha \beta} \langle \alpha | \hat{o}_{\lambda \mu} | \beta \rangle \langle \Psi_f | \hat{c}^\dagger_\alpha \hat{c}_\beta | \Psi_i \rangle. \qquad(1) $$
I so happen to be in possession of all the OBTDs and reduced matrix elements needed to re-calculate any transition of my desire. Now, what if I were to simply skip certain orbitals ($\alpha$ and $\beta$) in eq. (1)? I could for example decide to skip any mention of $0f7/2 \rightarrow 0f7/2$, or any other single-particle transitions for that matter. Re-calculating all of the transition strengths with the modified OBTD files consequently gives me the possibility to re-calculate the $M1$ GSF with the modified values. We can then directly see how the LEE is affected by the modification! That's what I call a home-run! schmack
Digression about decay and excite
During my OBTD quest I have become increasingly confused about how values are structured in the KSHELL log files; which value is B decay and which is excite? I think I'll circumvent these shenanigans and simply use the reduced matrix element and its relation to the initial and final state as seen in eq. (0). In that equation, $i$ and $f$ says nothing about whether it is a decay or an excitation. To decide that, we have to make sure that what we call initial in eq. (0) is the state with the higher energy of the two. If that is the case, then $i \rightarrow f$ certainly means a decay probability. I have now made sure of this!
Modifying the OBTDs and M red.s
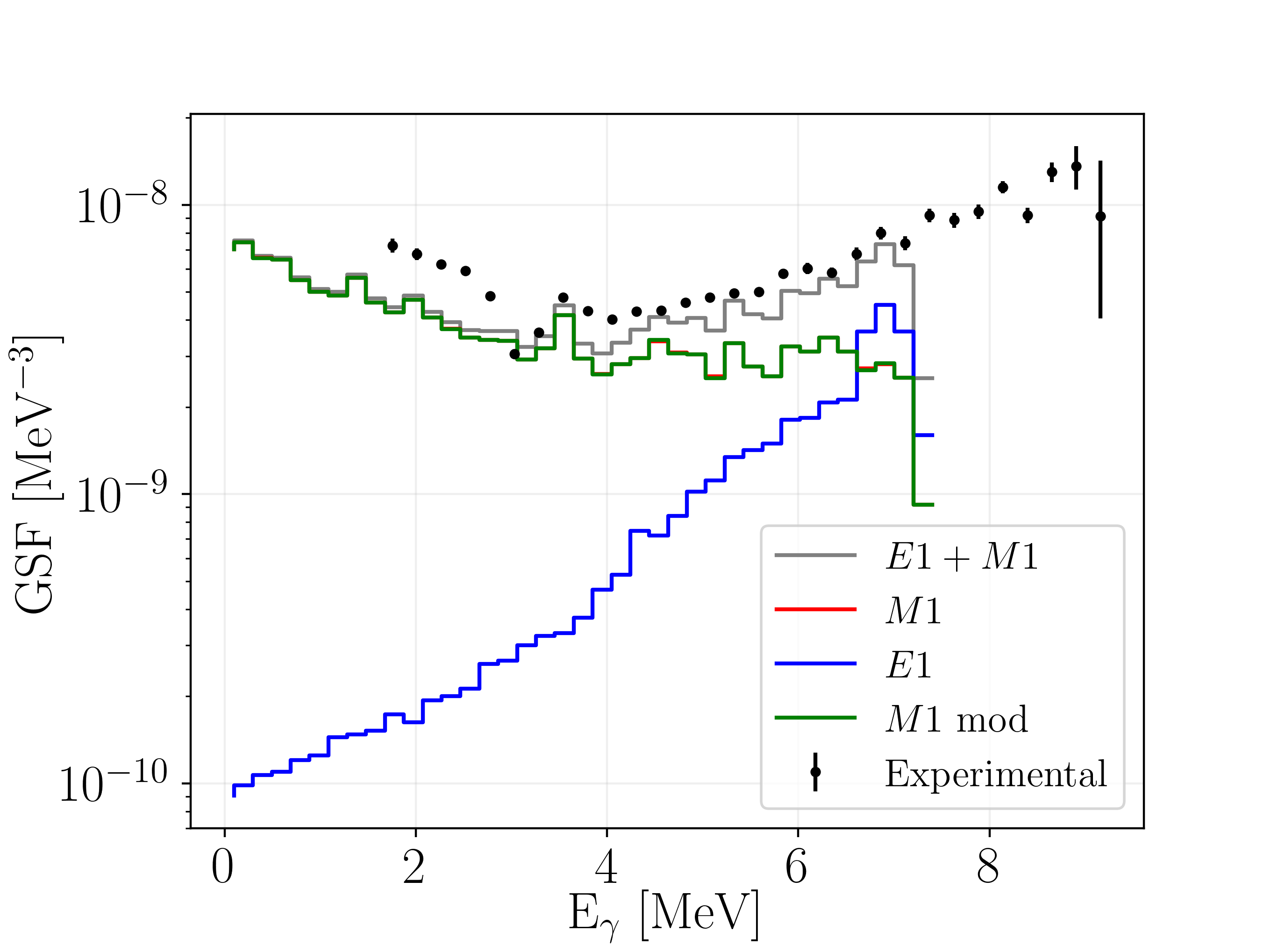
To change the different orbital contributions in eq. (1) means that we skip both OBTDs and reduced M matrix elements (M red). But first, to be sure that my re-calculations of the B values work as expected, I will try to re-calculate the $M1$ strength function without modifying anything.
I was expecting to perfectly re-calculate the $M1$ strength function, and it is almost perfect, but there are some tiny differences… Don't know what is the cause and I don't think I'll spend any time figuring it out as it looks good enough for me.
Let's take a look at the OBTD grid to get a feeling of which orbitals we might want to mess around with (protons left, neutrons right, both parities, no B lims, $E_\gamma = [0, 3]$ MeV):
The $pf$ shell is by far the most dominant for neutrons, while for protons there are also some strong contributions from the $sd$ shell. This makes sense as the fermi level for neutrons is higher than the fermi level for protons (recall that vanadium-50 has 23 protons and 27 neutrons).
It might at first seem strange that there are transitions from and to the same orbital, like for example $0f7/2 \rightarrow 0f7/2$. $0f7/2$ does of course have 8 sub-states for the different z-projections of the total angular momentum vector, but they are degenerate, meaning that they have the same energy. This is however true only in the pure single-particle picture. When there are several particles in say $0f7/2$ there are nucleon-nucleon interactions which give rise to configurations which are more energetically favourable than others, for example pairing forces which favours pairing up nucleons with opposite $j_z$ (eg. 1/2 and -1/2). The energy differences – and hence gamma energies – which arise from these kinds of nucleon-nucleon interactions are of comparatively low energy, and consequently, removing them from eq. (1) should heavily impact the LEE part of the GSF.
Spin-flip transitions are those where, big surprise, the spin of the nucleon is flipped. That means for example $0f7/2 \rightarrow 0f5/2$, and more generally, orbital partners with the same $l$ value but different $j$. The energy of such a transition should be decided by the energy splitting imposed by the spin-orbit splitting (the $\bm{l} \cdot \bm{s}$ term in the potential). The energy from the spin-orbit splitting is typically much larger than the energy from the aforementioned nucleon-nucleon interactions.
Let's start by removing $0f7/2 \rightarrow 0f7/2$! On the left side you see the GSF with the modified $M1$ strength function in green. On the right side I'm showing the OBTD grid (this time protons and neutrons are summed) so that we can visualise the orbitals which have been removed.
We can see the absence of $0f7/2 \rightarrow 0f7/2$ in the OBTD grid to the right, and we can see that it has a huge impact on the strength function to the left. The impact is largest in the low-energy region, less so as the gamma energy increases, and then at approx. 7 MeV it reaches the same amplitude as the non-modified $M1$ strength function in red. This shows that $0f7/2 \rightarrow 0f7/2$ transitions are strong at the lower gamma energies.
In the following, I have removed all the diagonal elements, aka. the transitions within the same orbital.
As you can see, the low-energy part of the GSF decreases even more, and maybe more interesting, the LEE is completely gone. Removing just $0f7/2 \rightarrow 0f7/2$ did not completely remove the LEE, but removing all the diagonal elements does. What happens if we do the opposite?
Looks good! The low-energy strength is back while the high-energy strength is significantly reduced. Now what if we allow only $0f7/2 \rightarrow 0f7/2$ on the diagonal? Let's see!
This one is also pretty interesting. Keeping only $0f7/2 \rightarrow 0f7/2$ on the diagonal almost retains the original $M1$ strength function. As we saw earlier, $0f7/2 \rightarrow 0f7/2$ carries almost no high energy strength meaning that the high energy strength is retained by the non-diagonals, while the low energy strength is almost completely contained in only $0f7/2 \rightarrow 0f7/2$ of the diagonals.







Discussion